生态环境部环境规划院在《ES&T》发文揭示隐藏于中国能源转型过程中的省际公平问题

碳道小编  · 2023-08-03 08:08 · 阅读量 · 3352

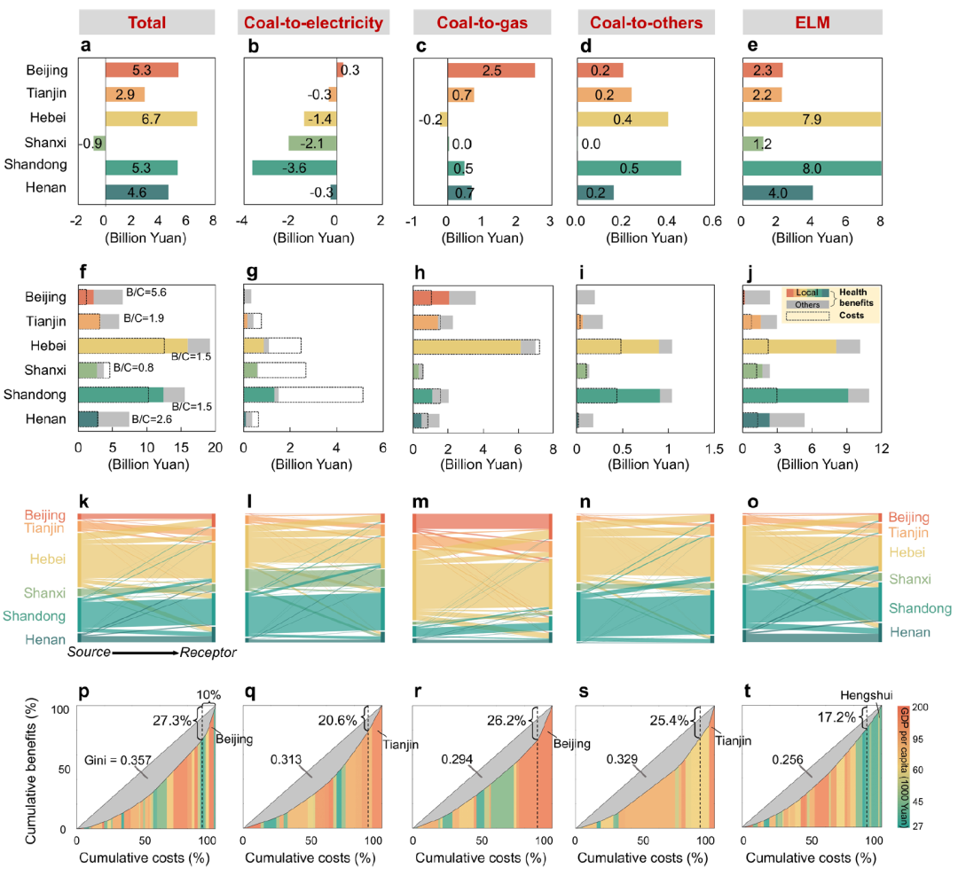
摘要:【导读】生态环境部环境规划院环境规划与模拟重点实验室联合厦门大学、天津大学、中央财经大学在国际环境领域顶级期刊《Environmental Science & Technology》刊发论文“Revealing inter-regional environmental inequities hidden in China's energy transition”。该研究基于重点实验室构建的“减排成本—环境效益—健康收益—经济影响”环境政策综合评估模型,评估了《大气十条》实施期间华北地区16万个燃煤小锅炉清洁化改造政策健康收益与经济成本的空间异质性。研究发现,从整个区域角度来看,小锅炉清洁改造的总健康效益可以抵消总经济成本,但发达城市(北京和天津)可能会以较低的成本从欠发达的邻近省份获得更多的健康效益。京津两市的小锅炉改造仅贡献了整个区域健康效益的14%,但其获得的健康收益占总收益的21%,且其中有56%得益于河北省的小锅炉改造。另外,京津两市的健康收益约为其经济成本的5.6倍,远高于邻近省份。因此,研究提出要高度重视能源转型可能导致的区域内部公平问题,按照“责任与收益”对等的原则推动区域环境治理联防联控。上述

研究背景

 为降低细颗粒物(PM2.5)浓度,中国政府2013年启动有史以来最严厉的“大气污染防治行动计划”,此后众多空气污染控制措施随之实施,例如住宅部门推广清洁燃料、升级工业锅炉、逐步淘汰散乱污企业等,并在2013-2017年取得显著成效。其中,燃煤工业锅炉升级使PM2.5浓度降低5.3μg/m3并被联合国环境规划署(UNEP)视为一项成功的措施。而低于35蒸吨的小锅炉原煤消费量占中国原煤消费总量的29%,被认为是空气污染排放的主要来源之一。因此,淘汰或升级35蒸吨以下的小锅炉是改善区域空气质量的主要措施之一。然而,小锅炉主要由小型企业(澡堂、面包店、小工厂、餐馆等)拥有,相比大型工业工厂这些小企业对成本更加敏感。因此,如果忽视小锅炉升级改造的成本,将不可避免地会产生不良的政策效果,与党中央在“十四五”规划中提出实现区域协同发展的目标相冲突。因此,有必要同时评估小锅炉改造的经济成本和健康收益以及在区域内部的错配关系。


研究方法

 本研究基于重点实验室构建的“减排成本—环境效益—健康收益—经济影响”的大气环境政策综合评估模型,以全面探究华北平原地区小锅炉升级的经济成本和健康收益。首先,本研究构建了一个包括16万条小锅炉清洁化改造记录的数据清单,该清单包括锅炉用途、锅炉容量、改造方式、改造时间和应用领域等内容,其中改造类型主要包括:煤改电、煤改气、淘汰、煤改其他(甲醇、生物质等)。基于文献调研与实地考察,本文测算了每台小锅炉的原煤替代量、主要污染物减排量以及改造成本。其次,通过耦合空气质量模型(CAMx)、天气预报模型(WRF)和全球暴露死亡率模型(GEMM),量化华北地区小锅炉清洁改造的PM2.5年均浓度下降水平和相关的可避免死亡人数。最后,使用生命统计价值(VSL)将该项政策避免的死亡人数转换为健康经济收益,并分析不同省份经济成本和健康收益错配导致的区域间不公平问题。


研究结果

1.小锅炉升级的减煤量

 2013-2017年期间,华北平原地区有将近16万个小锅炉进行升级改造,总规模达30万蒸吨,使华北平原地区原煤总量减少了5765万吨。具体来说,河北和山东地区的原煤减少最多,分别占原煤减排总量的45%和23%,而两个核心城市北京和天津分别仅占原煤减排总量的3%和8%。从升级方式来看,淘汰对原煤总量减少的贡献最大(59%)。煤改气、煤改电两种方式累计减排原煤2063万吨,占全国减排总量的36%。值得注意的是由于地方政策和资源禀赋的原因,不同的升级方式具有一定的地域性。例如,北京、天津和河北的升级方式主要采用煤改气,而山西由于煤电资源丰富,倾向于使用煤改电方式。

图1. 小锅炉升级改造的空间分布及原煤减少量


2.空气质量改善和健康收益

 通过WRF-CAMx模拟发现,小锅炉升级改造大大改善了华北平原地区的空气质量,年平均PM2.5浓度降低了2.7%。由于大气传输效应的存在,特定区域的空气质量可能受益于其邻近区域的小锅炉升级。河北等欠发达地区的小锅炉升级不仅降低了当地的PM2.5浓度,且对周边发达地区产生了较大的溢出效应。如北京和天津两个城市的年平均PM2.5浓度分别下降了1.353ug/m3和2.852ug/m3,而这其中分别有59%(0.802μg/m3)和48%(1.367μg/m3)得益于河北小锅炉升级改造。同时,根据全球暴露死亡模型(GEMM)测算显示,2013-2017年间由于小锅炉升级避免了约1.2万例由PM2.5引起的过早死亡。

图2. 2013-2017年华北平原地区PM2.5浓度降低及避免的过早死亡


3.小锅炉升级的经济成本

 分别从不同省份、升级方式及成本结构区分了华北平原地区小锅炉升级的年度成本。在省级层面上,河北省的成本最高,为125.4亿元,占总成本(344.5亿元)约36%。虽然煤改气的年化成本在总成本中所占份额最大,但就每蒸吨的平均年化成本来说,煤改电的单位成本最高,每蒸吨成本在57-107万元之间。将小锅炉升级的成本分为设备成本和运行成本两部分,结果发现年运营成本几乎占到年总成本的70%。设备成本占比低主要是因为年化了初始设备成本。

图3. 2013-2017年华北平原各省市小锅炉清洁化改造平均成本


4.经济成本和健康收益的错配

 本研究进一步结合VSL将健康收益货币化并将其与实施政策的成本进行比较。结果表明小锅炉升级带来的健康收益大于经济成本。虽然河北获得了最大的健康收益,且净收益高达到67亿元,但河北的成本收益比仅为1.5,明显低于北京的5.6。北京净收益第二高(53亿元),但其65%得益于周边省份的健康收益。

 本研究使用基尼系数进一步衡量了小锅炉升级中经济成本和健康收益的不公平问题,整体来看基尼系数为0.357。但我们发现包括北京在内的一些人均GDP较高的城市分布在横轴的右侧,这些城市只贡献了其总成本的10%,却不成比例地获得了其总健康收益的27.3%,这说明高度发达的城市可能以更少的经济成本获得更多的收益。

图4.  区域间经济成本和健康收益的错配关系


政策应用

 本文以小锅炉升级改造为例分析了中国能源清洁化转型过程中带来的经济成本和健康收益在空间上的错配效应,研究发现经济发达地区可能以较低的经济成本享受到欠发达地区污染治理带来的健康收益。这凸显了控制大气污染的措施与缓解区域发展差异可能存在政策冲突,在政策制定中要综合考虑各方面的影响,从而提升政策制定的科学性与公平性。

 本研究建议通过政策和制度创新来解决能源转型和大气污染治理带来的区域协同发展问题。如充分利用中央大气污染防治资金预算以支持欠发达地区的大气污染防治工作,或探索建立跨行政区的大气污染治理横向补偿机制。


作者贡献

 本研究由国家环境保护环境规划与政策模拟重点实验室领衔开展,重点实验室张伟研究员、薛文博研究员、厦门大学张增凯教授为论文共同通讯作者,天津大学博士研究生赵琼和重点实验室赵静为论文共同第一作者。

 其他作者包括重点实验室成员胡溪高级工程师、张静副研究员、刘鑫助理研究员、蒋洪强研究员,中央财经大学姜玲教授、张剑教授以及同济大学博士研究生霍瑞雪。

 该研究获得国家科技部重点研发项目和国家自然科学基金委项目支持。


论文获取:Qiong Zhao, Jing Zhao, Wei Zhang*, Xi Hu, Jing Zhang, Wenbo Xue*, Ling Jiang, Jian Zhang, Xin Liu, Hongqiang Jiang, Ruixue Huo, Zengkai Zhang*. Revealing inter-regional environmental inequities hidden in China's energy transition.Environmental Science & Technology, 2023. https://pubs.acs.org/doi/10.1021/acs.est.3c02913

来源:生态环境部环境规划院


热门评论